On this page
- Eosinophilia
- Lymphadenopathy
- Lymphocytosis
- Macrocrocytosis +/- Anaemia (MCV >100)
- Microcytic Anaemia (anaemia with low MCV and/or MCH)
- Neutropenia
- Neutrophilia
- Normocytic Anaemia (anaemia with normal MCV)
- Pancytopenia
- Polycythaemia (raised HCT [not raised Hb] >0.48 in females, >0.52 in males)
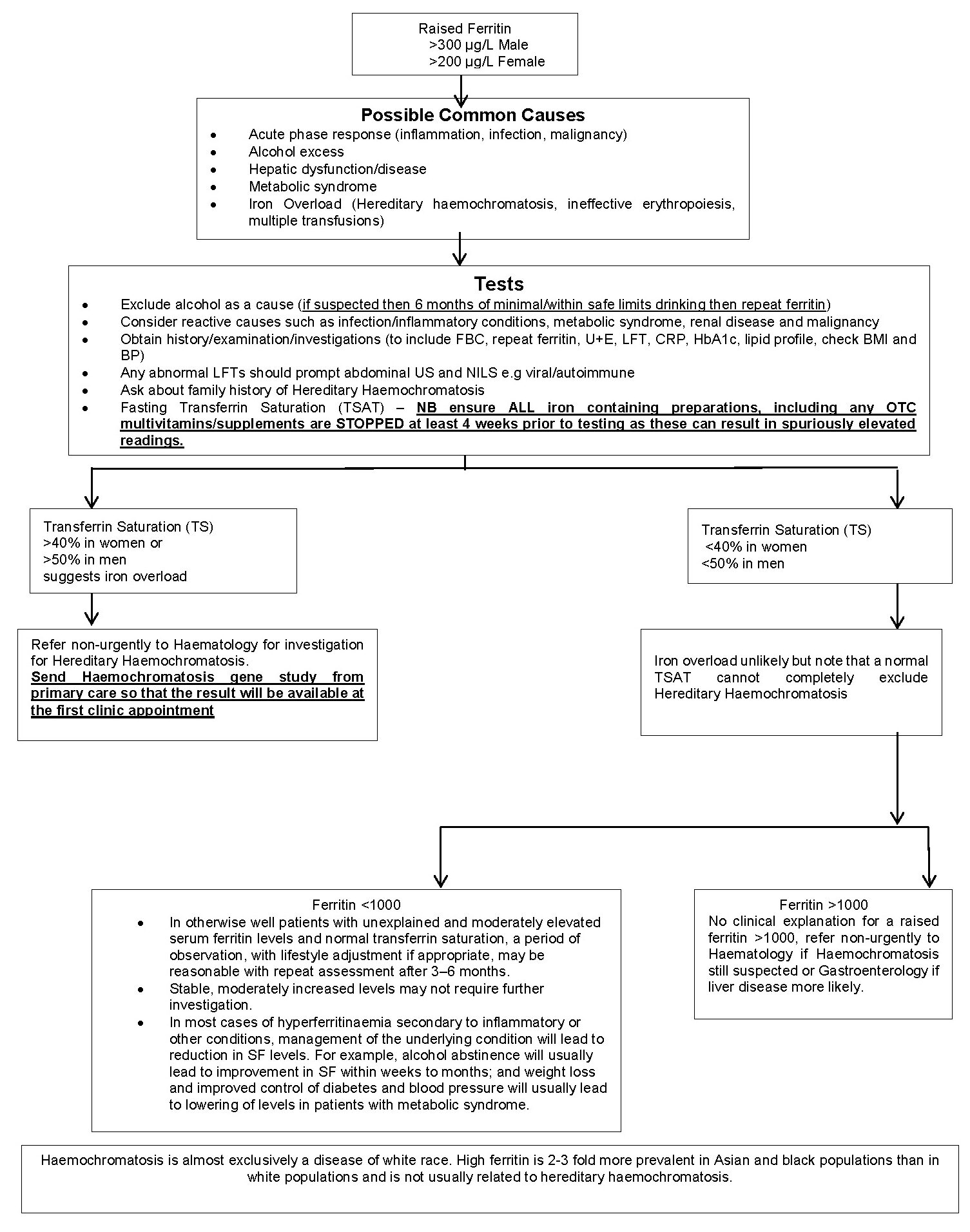
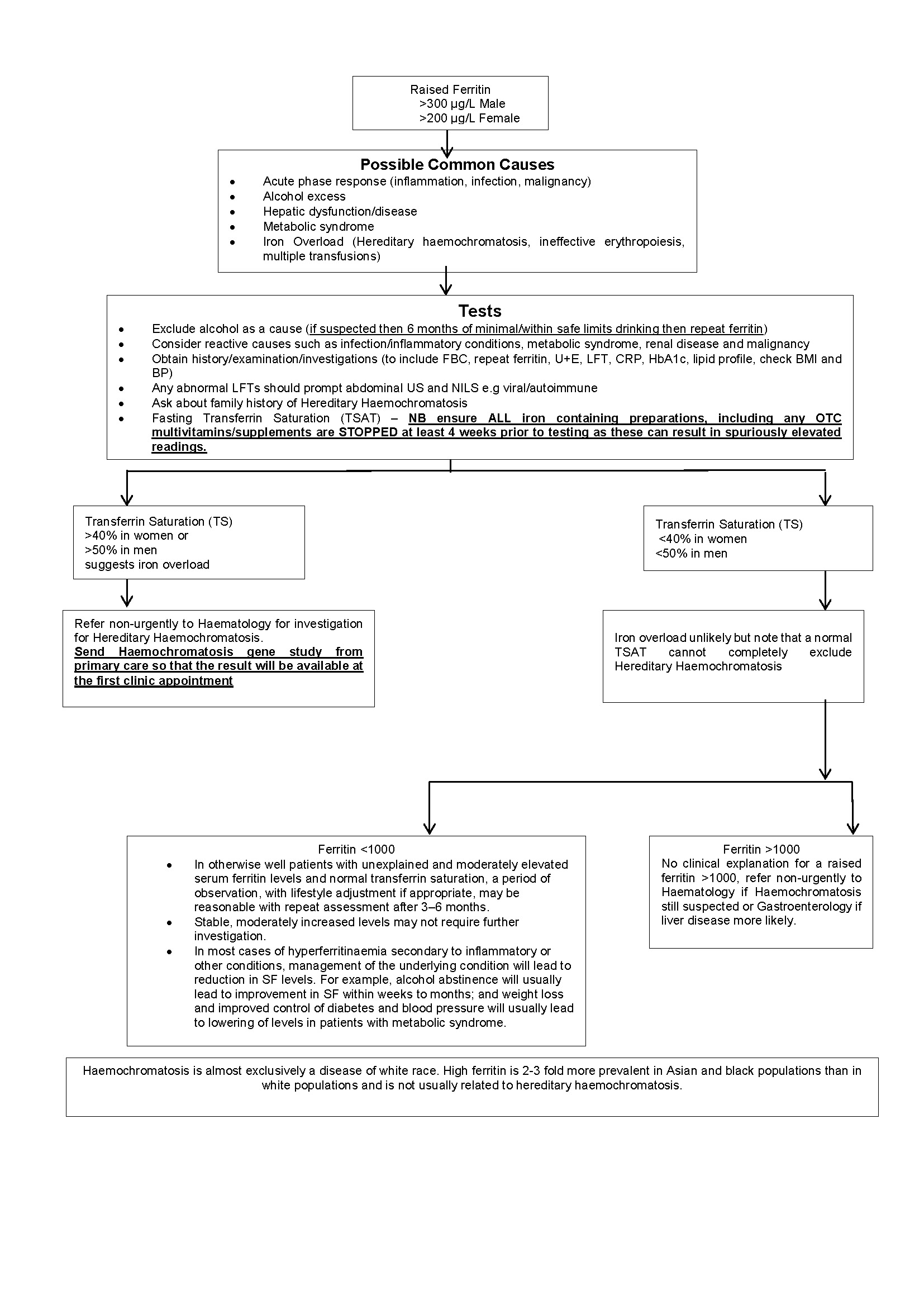
- Raised Ferritin
- Splenomegaly
- Suspected Myeloma
- Thrombocytopenia
- Thrombocytosis
Eosinophilia
Lymphadenopathy
Lymphocytosis
Macrocrocytosis +/- Anaemia (MCV >100)
Microcytic Anaemia (anaemia with low MCV and/or MCH)
Neutropenia
Neutrophilia
Normocytic Anaemia (anaemia with normal MCV)
Pancytopenia
Polycythaemia (raised HCT [not raised Hb] >0.48 in females, >0.52 in
males)
Raised Ferritin
Splenomegaly
Suspected Myeloma
Thrombocytopenia
Thrombocytosis















